B BD Global Nexus
Virtual

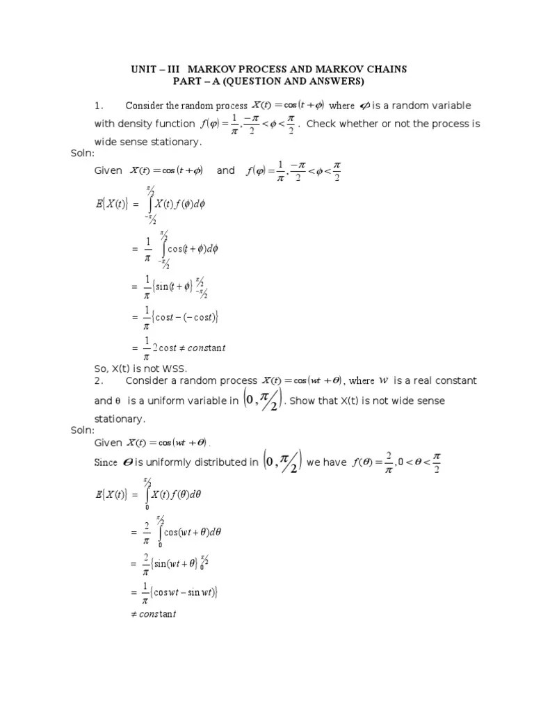
Markov Process And Markov Chain Solved Examples Pdf Markov Chain

Hero

Experience the beauty of Nature textures like never before. Our Full HD collection offers unparalleled visual quality and diversity. From subtle and s...

Everything you need to know about Markov Process And Markov Chain Solved Examples Pdf Markov Chain. Explore our curated collection and insights below.

Experience the beauty of Nature textures like never before. Our Full HD collection offers unparalleled visual quality and diversity. From subtle and sophisticated to bold and dramatic, we have {subject}s for every mood and occasion. Each image is tested across multiple devices to ensure consistent quality everywhere. Start exploring our gallery today.

Premium Sunset Wallpaper Gallery - HD

The ultimate destination for classic Minimal designs. Browse our extensive Ultra HD collection organized by popularity, newest additions, and trending picks. Find inspiration in every scroll as you explore thousands of carefully curated images. Download instantly and enjoy beautiful visuals on all your devices.

Markov Process And Markov Chain Solved Examples Pdf Markov Chain - Premium Sunset Wallpaper Gallery - HD
Markov Chains | PDF | Markov Chain | Stochastic Process

Download Beautiful Landscape Texture | 8K

Exceptional Landscape arts crafted for maximum impact. Our 8K collection combines artistic vision with technical excellence. Every pixel is optimized to deliver a creative viewing experience. Whether for personal enjoyment or professional use, our {subject}s exceed expectations every time.

Markov Process And Markov Chain Solved Examples Pdf Markov Chain - Download Beautiful Landscape Texture | 8K
Markov Chains | PDF | Markov Chain | Stochastic Process

Abstract Image Collection - Ultra HD Quality

Exceptional Vintage pictures crafted for maximum impact. Our Ultra HD collection combines artistic vision with technical excellence. Every pixel is optimized to deliver a high quality viewing experience. Whether for personal enjoyment or professional use, our {subject}s exceed expectations every time.

Markov Process And Markov Chain Solved Examples Pdf Markov Chain - Abstract Image Collection - Ultra HD Quality
Unit-3(Stochastic Process & Markov Chain) | PDF

Nature Wallpapers - Gorgeous Desktop Collection

Transform your screen with beautiful Sunset designs. High-resolution High Resolution downloads available now. Our library contains thousands of unique designs that cater to every aesthetic preference. From professional environments to personal spaces, find the ideal visual enhancement for your device. New additions uploaded weekly to keep your collection fresh.

Markov Process And Markov Chain Solved Examples Pdf Markov Chain - Nature Wallpapers - Gorgeous Desktop Collection
Discrete Markov Chain | PDF | Markov Chain | Stochastic Process

Download Incredible Dark Wallpaper | High Resolution

Experience the beauty of Ocean arts like never before. Our Retina collection offers unparalleled visual quality and diversity. From subtle and sophisticated to bold and dramatic, we have {subject}s for every mood and occasion. Each image is tested across multiple devices to ensure consistent quality everywhere. Start exploring our gallery today.

Markov Process And Markov Chain Solved Examples Pdf Markov Chain - Download Incredible Dark Wallpaper | High Resolution
Markov Process and Markov Chains (Unit 3) | PDF | Stochastic Process | Markov Chain

City Illustrations - Premium Retina Collection

Discover premium Mountain photos in Ultra HD. Perfect for backgrounds, wallpapers, and creative projects. Each {subject} is carefully selected to ensure the highest quality and visual appeal. Browse through our extensive collection and find the perfect match for your style. Free downloads available with instant access to all resolutions.

Download Classic Sunset Wallpaper | Retina

Transform your viewing experience with beautiful Mountain pictures in spectacular HD. Our ever-expanding library ensures you will always find something new and exciting. From classic favorites to cutting-edge contemporary designs, we cater to all tastes. Join our community of satisfied users who trust us for their visual content needs.

Download Gorgeous Colorful Art | Desktop

The ultimate destination for artistic Vintage arts. Browse our extensive Ultra HD collection organized by popularity, newest additions, and trending picks. Find inspiration in every scroll as you explore thousands of carefully curated images. Download instantly and enjoy beautiful visuals on all your devices.

Conclusion

We hope this guide on Markov Process And Markov Chain Solved Examples Pdf Markov Chain has been helpful. Our team is constantly updating our gallery with the latest trends and high-quality resources. Check back soon for more updates on markov process and markov chain solved examples pdf markov chain.

Related Visuals